当前位置:首页 > 县政府 > 法规文件 > 文件库 > 县政府办公室文件
公开方式: 主动公开 有效期: 长期有效 公开时限: 长期公开 公开范围: 面向全社会 信息索取号: 014560025/2025-10217
《浮梁县人民政府办公室关于印发浮梁县处置水上突发事件应急预案的通知》(浮府办字〔2025〕21号)
发布时间: 2025-04-17 来源: 县政府办 访问量:






浮府办字〔202521



浮梁县人民政府办公室

关于印发浮梁县处置水上突发事件

应急预案的通知


各乡(镇)人民政府,县政府各部门,县直各单位:

《浮梁县处置水上突发事件应急预案》已经第49次县政府常务会通过,现印发给你们,请抓好贯彻落实。




2025417

(此件主动公开)

浮梁县处置水上突发事件应急预案


1总则

1.1 编制目的

1.2 编制依据

1.3 适用范围

1.4 工作原则

1.5 应急预案体系

2组织指挥体系及职责任务

2.1 应急指挥机构

2.2 运行管理机构

2.3 专家组

2.4 乡(镇)级机构

2.5 现场指挥机构

2.6 水上应急救援力量

3预警和预防机制

3.1 预测预警系统

3.2 预警监测与报告

3.3 预警分级与发布

3.4 预警响应措施

4 水上突发事件分级

4.1 特别重大水上突发事件( Ⅰ 级)

4.2 重大水上突发事件( Ⅱ级)

4.3 较大水上突发事件( Ⅲ级)

4.4 一般水上突发事件( Ⅳ级)

5 水上突发事件的应急响应和处置

5.1 水上遇险报警

5.2 水上遇险信息的分析和核实

5.3 信息报告

5.4 指挥与控制

5.5 分级应对与响应分级

5.6 紧急处置

5.7 水上应急通信

5.8 水上搜救医疗救援

5.9 应急行动人员的安全防护

5.10 遇险旅客及其他人员的安全防护

5.11 社会力量动员与参与

5.12 应急效果评估与处置方案调整

5.13 水上应急行动的暂停与终止

5.14 信息发布

6后期处置

6.1 善后处置

6.2 社会救助

6.3 保险

6.4 应急处置效果和经验总结

7 保障措施

7.1 应急力量和装备保障

7.2 资金保障保障

7.3 物资保障

7.4 医疗卫生保障

7.5 交通运输保障

7.6 治安维护

7.7 通信保障

7.8 科技支撑

7.9 宣传、培训与演练

7.10 检查与监督

8 附则

8.1 名词术语的定义与说明

8.2 预案管理

8.3 责任与奖惩

8.4 预案解释部门

8.5 预案实施时间

9附件

9.1 应急组织指挥体系框架图

9.2 险情处理与控制流程图

9.3 水上突发事件反应工作流程图

1 总则

1.1 编制目的

建立我处置水上突发事件应急反应机制,迅速、有序、高效地组织水上突发事件的应急反应行动,救助遇险人员,控制水上突发事件扩展,最大程度地减少水上突发事件造成的人员伤亡和财产损失以及防止水域环境污染。

1.2 编制依据

依据《中华人民共和国突发事件应对法》《中华人民共和国安全生产法》《中华人民共和国内河交通安全管理条例》《国家海上搜救应急预案》《江西省处置水上突发事件应急预案》《江西省水路交通条例》和《景德镇市突发事件总体应急预案》等制定本预案。

1.3 使用范围(1)我管辖的内河通航水域发生的水上突发事件的应急反应行动。

参与水上突发事件应急行动的单位、船舶、飞行器、设施及人员。

1.4 工作原则

1)政府领导,社会参与,依法规范。政府对处置水上突发事件实行统一领导,形成高效应急反应 机制,及时、有效地组织社会资源,形成合力。依照水上突发事件应急组织指挥体系框架,形成专业力量与社会力量相结合,多部门参加,多学科技术支持,全社会参与的应对水上突发事件机制。依照有关法律、法规,明确各相关部门、单位、个人的责任、权力和义务,规范应急反应的组织、协调、指挥行为。

2)统一指挥,分级处置,属地为主。

水上突发事件应急反应实行统一指挥,各方协调行动。根据突发事件的发生区域、性质、程度、与实施救援投入的力量所需,实行分类管理,属地管理为主,确保及时分析判断形势,正确决策,相机处置,提高应急反应行动的及时性和有效性。

3)防应结合,资源共享,团结协作。

做好自然灾害的预警工作,减少自然灾害引发水上突发事件的可能。水上突发事件发生后,及时组织救助,减少人员伤亡和财产损失,防应并重,确保救助。建立应急资源共享机制,避免重复建设。充分利用各方资源,发挥参与救助各方力量的自身优势和整体效能,相互配合,形成合力。

4)以人为本,科学决策,快速高效。

充分履行政府公共服务职能,快速高效地救助遇险人员。充分发挥专家的咨询作用,果断决策,保证应急指挥的科学性与权威性。加强水上搜救应急体系建设,建立水上搜救应急反应机制,保证指挥畅通和救援力量快速行动,提高应急反应的效能和水平。

1.5 应急预案体系

水上突发事件应急预案体系由市、县级人民政府专项预案、部门预案、生产经营单位预案以及为应急预案提供支撑的工作手册和行动方案组成。

2 组织指挥体系及职责任务

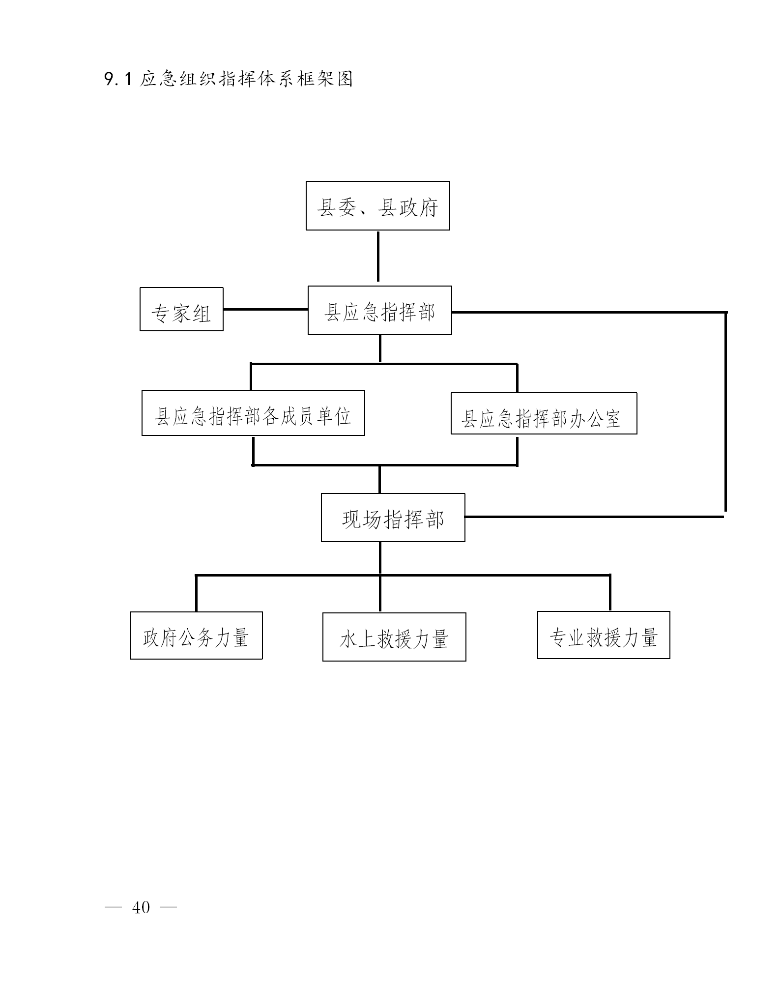
政府的领导下,设立处置水上突发事件应急指挥部(以下简称应急指挥部),负责组织协调指挥全水上突发事件防范和应对工作。处置水上突发事件应急组织指挥体系由应急指挥机构、运行管理机构、专家组、现场指挥机构、应急救援力量等组成。

2.1 应急指挥机构

2.1.1 应急指挥部主要职责:

1)执行委、政府的决定和指示。

2)统一组织、指挥特别重大、重大较大的水上突发事件应急处置,向政府提出结束应急状态的建议。

3)研究确定全水上突发事件应急工作重大决策和工作意见。

4)指导全水上突发事件应急救援工作。

2.1.2 应急指挥部组成人员。

总指挥:政府分管副长。

副总指挥:政府协助联系工作的办公室副主任交通运输局局长,公安局、应急管理局负责同志等。

成员:委宣传部、交通运输局、应急管理局、发展改革委、工业和信息化局、公安局、民政局、财政局、自然资源和规划局、景德镇市浮梁生态环境局水利局、农业农村局、卫生健康委、气象局、文化和旅游局、消防救援队、交通运输综合行政执法队有关负责同志。根据工作需要,可增加有关乡镇、部门和单位负责同志参加。

2.1.3 县应急指挥部各成员单位职责。

应急指挥部成员单位按照各自职责,结合水上突发事件应急反应行动实际情况,发挥相应作用,承担水上应急反应、抢险救灾、支持保障、善后处理等应急工作。

委宣传部:负责指导、协调水上突发事件新闻发布、宣传报道和舆论引导等工作。

交通运输局:负责协调水上突发事件应急工作,组织水上运输突发事件的应急工作;拟定水上搜救工作有关政策、办法,制定工作制度;草拟处置水上突发事件应急预案;管理交通运输专业救助队;协调交通运输行业有关单位参加水上突发事件应急工作。

3应急管理局指导水上突发事件应急救援会同有关方面组织协调紧急转移安置受灾群众和受灾群众生活救助;负责组织本系统力量和资源参加水上突发事件应急行动。

4发展改革委:负责指导各地、各有关部门加快水上突发事件应急准备及搜救工作相关基础设施项目前期工作,加快应急体系建设;负责审批权限内水上突发事件应急准备及搜救工作相关基础设施项目。

5工业和信息化局:负责保障水上遇险和安全通信频率正常使用,进行无线电监测检测,排查无线电干扰,根据应急抢险需要,提供临时应急通信频率。

6公安局:负责组织本系统力量参加水上突发事件应急行动,维护水上救援现场治安秩序和实施陆上交通管制。

7民政局:负责获救人员及遇难者家庭的基本生活救助;负责组织遇难者遗体处置等工作。

8财政局:负责财政负担的处置水上突发事件所需经费。

9自然资源和规划局:负责提供地质灾害预报及应急行动时相关地质灾害的即时信息。

10景德镇市浮梁生态环境局:负责水上突发事件可能造成环境危害处置的有关指导、协调工作,提供相应的环境监测信息支持,及时发布饮用水源安全预警信息。

11水利局:负责组织本系统力量参加防汛领域水上突发事件应急行动;督促水利工程管理单位做好工程管理范围内河道安全警示工作。

12农业农村局:负责组织本系统力量参加水上突发事件应急行动;负责协调渔业船舶参加水上突发事件应急行动;负责水上突发事件可能造成渔业生态环境危害和渔业生产影响的监察工作,并提供相关信息。

13卫生健康委:负责组织本系统力量参加水上突发事件应急行动;负责提供遇险人员医疗急救保障,协调医疗机构人员赴现场执行水上医疗救援和收治、转送伤病人员。

14气象局:负责提供中长期气象预报、恶劣天气的短时临近滚动预报, 以及应急行动中所需的相关气象信息。

16文化广播新闻出版旅游局:负责组织协调险情区域旅游团队的安置与疏散工作。

17消防救援队:负责组织本系统力量参加水上突发事件应急救援行动;扑救船舶和码头及附属设施火灾,积极救助遇险人员;配备专业的水上消防装备和提供技术支持。

成员单位除上述职责外,还承担应急指挥部交办的其他任务。未列入成员单位的其他部门根据水上突发事件应对需要承担有关工作任务。

2.2 运行管理机构

2.2.1 县应急指挥部办公室设在交通运输局,负责全县应急指挥部的常工作,并承担水上搜救运行管理工作。应急指挥部办公室主任由交通运输局分管副局长兼任。应急指挥部办公室副主任由交通运输综合行政执法大队大队长县综合交通运输事业发展中心主任兼任。

2.2.2 主要职责:

1)执行应急指挥部的决定和指示。

2)起草水上搜救工作有关政策,草拟级水上应急工作有关规章制度,组织申报水上应急工作经费。

3)具体负责级处置水上突发事件应急预案的运行、更新和管理。

4)承担本水上搜救应急值班,负责全水上搜救工作的综合协调及相关组织管理工作。

5)承担本水上油污应急和水上保安报警联络点工作。

6)组织本水上搜救应急演练工作。

7)组织本水上应急救援人员的安全知识、专业知识、新技术应用等方面的培训和水上安全知识宣传。

8)接收、汇总、分析、上报水上突发事件有关重要信息。

2.3 专家组

2.3.1 处置水上突发事件应急专家组构成处置水上突发事件应急专家组由海事、航运、救捞、航道、桥梁、航空、公安、消防救援、通信、医疗卫生、生态环境、石油化工、气象、水利、地质、应急、高等院校等行业专家、专业技术人员组成。专家组成员由交通运输局商有关部门聘任,根据水上突发事件应急需要组织相关专家参与应急行动。

2.3.2主要职责:

1)提供水上应急行动的技术咨询和建议。

2)参与相关水上应急救援体系建设的研究工作。

3)提供水上应急法制建设、体系建设、发展规划咨询服务。

4)必要时参与水上应急救援工作

2.4 乡(镇)级机构

2.4.1乡镇参照级,按照“上下基本对应”的要求,结合实际设立本级应急指挥机构和运行管理机构。负责本级水上突发事件应急指挥和日常运行管理工作,组织力量参与水上搜救行动。

2.4.2 主要职责:

1)执行上级水上突发事件处置有关决定和指示。

2)组织辖区内水上突发事件应急处置,组织力量参与水上突发事件应急行动。

3)制定本级水上应急工作有关规章制度,负责本级处置水上突发事件应急预案的运行、更新和管理。

4)承担本级水上搜救应急值班,负责辖区内搜救力量建设,负责本级水上搜救工作的综合协调及相关组织管理工作。

5)组织本级水上搜救应急演练工作。

6)组织本级水上应急救援人员的安全知识、专业知识、新技术应用等方面的培训和水上安全知识宣传。

7)负责辖区内水上突发事件信息的接收、汇总、分析和上报。

2.5 现场指挥机构

2.5.1 特别重大、重大水上突发事件发生后,在事发地设立现场指挥部,代表政府履行应急处置职责,组织开展应急处置工作。

2.5.2 主要职责:

1)在政府的领导下,负责现场应急处置工作。

2)发布水上突发事件应急救援命令;组织有关单位按照应急救援预案,迅速开展水上抢险救助工作。

3)全面掌握事件发展态势,及时报告有关情况,为上级决策提出建议等。

4)根据现场实际情况,控制事态发展,有危及周围船舶、设施和人员的险情时,组织人员和船舶的转移、疏散工作。

5)协调有关部门和单位做好稳定社会秩序和伤亡人员的善后及安抚工作。

6政府交办的其他任务。

2.5.3 现场指挥部可根据实际情况需要设立综合协调、水上搜救抢险、医疗救护、警戒及交通管制、水域污染监测、后勤保障、善后处置等专业组,确保处置行动科学高效开展。

1)综合协调组:交通运输局牵头,交通运输局、应急管理局、事发地乡(镇)及其他各成员单位等人员参加。负责现场指挥部综合事宜;负责现场重要信息的汇总和报送;承办现场指挥部专题会议及材料保障;协调调集各方力量和资源参与搜救行动。

2)水上搜救抢险组:交通运输局牵头,公安、消防、交通运输执法、农业农村、水利等部门人员参加。负责研究制定现场搜救抢险方案并组织实施根据险情现场变化,适时提出请求市级支援和调整搜救力量的建议组织协调现场应急置有关工作。

3)医疗救护组:卫生健康委牵头,卫生健康部门、医疗单位及事发地卫生部门等人员参加。负责组织现场的医疗救护工作;做好伤亡统计和转运救治伤员。

4)警戒保卫与交通管制组:公安局牵头,公安局、县交通运输局及事发地乡(镇)工作人员等参加。负责维护水上救援现场治安秩序和实施陆上、水上交通管制;做好救援现场及现场指挥部的安全警戒保卫工作。

5)水域污染监测组:景德镇市浮梁生态环境局牵头,景德镇市浮梁生态环境局水利局、居民生活用水供应部门等人员参加。负责事发地水域污染监测和处置,负责发布饮用水源安全预警信息。

6)后勤保障组:事发地乡(镇)政府牵头,事发地政府工作人员参加负责做好现场指挥部人员生活、办公、出行保障工作。

7)善后处置组:事发地乡(镇)政府牵头公安、民政、保险等单位配合,获救或死亡人员所在单位等人员参与。负责水上突发事件的善后处置工作。

必要时设立新闻宣传组,由委宣传部牵头。

各工作组除上述职责外,还需承担现场指挥部交办的其他任务。其他未列入工作组的单位按照各自职能和水上突发事件应对需要开展相关工作。现场指挥部可视情调整和增加工作组及成员。

2.5.4 现场指挥机构。

一般水上突发事件发生后,视情设立现场指挥部。

2.5.5 工作指导组。

根据水上突发事件应对需要,交通运输局可派出工作指导组或牵头组成部门联合工作指导组赴现场,指导事发地应急处置工作,协调支援应急队伍、专家以及装备、物资等应急资源。

2.6 水上应急救援力量

2.6.1 水上应急救援力量:包括政府部门投资建设的专业救援力量、消防救援力量,政府部门所属公务救援力量,其他可投入救援行动的民用船舶与飞行器、企事业单位、社会团体、个人等社会人力和物力资源。

2.6.2主要职责:

1)服从应急指挥机构的协调指挥及时出动参加水上应急救援行动。

2)参加水上应急救援行动时,保持与应急指挥机构和现场指挥部的联系,及时报告动态。

3)参加水上突发事件应急指挥机构组织的应急演练。 应急组织指挥体系框架图见附件9.1

3 预警和预防机制

3.1 预测预警系统

应急指挥部办公室要设立水上突发事件信息平台,与政府有关部门实现联网互通接收受应急指挥部成员单位以及企事业单位报送的水上突发事件信息和预警信息。

3.2 预警监测与报告

3.2.1 预警信息包括:气象、水文、地质等自然灾害预报信息;其他可能威胁水上人命、财产、环境安全或造成水上突发事件发生的信息。

1)气象部门:对可能引发水上突发事件的气象灾害(如 大雾、大风等)进行监测分析和预报。

2水利部门:对江河、湖泊、库区的水文变化(如水位、流速等)进行监测分析,预报可能引发水上突发事件的水情信息。

3)自然资源部门:指导可能引发水上突发事件地质灾害的监测预报。

有关部门、单位通报的水上突发事件信息。

3.2.2 预警信息报告。

应急指挥部有关成员单位按照各自职责,建立健全监测制度,综合分析可能引发特别重大、重大水上突发事件的预警信息并及时向委、政府和应急指挥部办公室报送各有关单位应当根据事态发生发展的最新情况,及时进行后续报告。

3.3 预警分级与发布

3.3.1 预警分级。

根据《国家海上搜救应急预案》,水上突发事件预警信息的风险等级分为四个级别:

特别重大风险信息(I 级):

以“红色”预警信号表示并发布,包括:

16小时内可能或者已经受热带气旋(包括台风、强热带风暴、热带风暴、热带低压,下同)等天气系统影响,陆地平均风力达12级以上,或者阵风达14级以上并可能持续。

2)雾、雪、暴风雨等造成能见度不足100米。

3)监测预报山体滑坡处于滑坡阶段。

4)大江大河大湖主要河段水位达到保证水位,且监测预报洪峰即将通过。

重大风险信息(II 级):

以“橙色”预警信号表示并发布,包括:

112小时内可能或者已经受热带气旋等天气系统影响,陆地平均风力达10级以上,或者阵风12级以上并可能持续。

2)雾、雪、暴风雨等造成能见度不足500米。

3)监测预报山体滑坡处于加速阶段。

4)大江大河大湖主要河段水位达到警戒水位,且监测预报洪峰即将通过。

较大风险信息(III 级):

以“黄色”预警信号表示并发布,包括:

124小时内可能或者已经受热带气旋或冷空气等天气系统影响,陆地平均风力达8级以上,或者阵风10级以上并可能持续。

2)雾、雪、暴风雨等造成能见度不足800米。

3)监测预报山体滑坡处于匀速阶段。

4)大江大河大湖主要河段水位迅速上涨,监测预报即将达到警戒水位,且洪峰即将通过。

一般风险信息(IV 级):

以“蓝色”预警信号表示并发布,包括:

124 小时内可能或者已经受热带气旋或冷空气等天气系统影响,陆地平均风力达6级以上,或者阵风8级以上并可能持续。

2)雾、雪、暴风雨等造成能见度不足1000米。

3)监测预报山体滑坡处于蠕动阶段。

3.3.2 预警信息发布气象局、水利局、自然资源和规划局等部门根据各自职责,分别通过信息播发渠道向有关方面发布相应的自然灾害预警信息。应急指挥部办公室对信息进行分析判断评估,并根据信息发布有关规定立即将评估结果发布到有关单位和部门。有关单位和部门根据职责将信息传达到从事水上活动的单位和人员。

3.4 预警响应措施

1)从事水上、水下作业活动的有关单位、船舶和人员应注意接收预警信息,根据不同预警级别,采取相应预防措施,防止水上突发事件对人命、财产和环境造成危害。

2应急指挥部及各成员单位应当根据预警信息和各自职责,迅速做好有关准备工作。

3)各专业应急救援力量应当进入待命状态,做好应急救援准备。

4 水上突发事件的分级

根据《国家海上搜救应急预案》水上突发事件分四级

4.1 特别重大水上突发事件(I 级)

1)造成30人以上死亡(含失踪)的水上突发事件。

2)危及30人以上生命安全的水上突发事件。

3)客船、危险化学品船发生严重危及船舶或人员生命安全的水上突发事件。

4)单船10000总吨以上船舶发生碰撞、触礁、火灾等对船舶及人员生命安全造成威胁的水上突发事件。

5)急需国务院协调有关地区、部门或军队共同组织救援的水上突发事件。

6)其他可能造成特别重大危害、社会影响的水上突发事件。

4.2 重大水上突发事件(II 级)

1)造成10人以上、30人以下死亡(含失踪)的水上突发事件。

2)危及10人以上、30人以下生命安全的水上突发事件。

3)载员30人以下的民用航空器在水上发生突发事件。

43000总吨以上、10000总吨以下的非客船、非危险化学品船发生碰撞、触礁、火灾等对船舶及人员生命安全造成威胁的水上突发事件。

5)其他可能造成严重危害、社会影响和国际影响的水上突发事件。

4.3 较大水上突发事件(III 级)

1)造成3人以上、10人以下死亡(含失踪)的水上突发事件。

2)危及3人以上、10人以下生命安全的水上突发事件。

3500总吨以上、3000总吨以下的非客船、非危险化学品船舶发生碰撞、触礁、火灾等对船舶及人员生命安全造成威胁的水上突发事件。

4其他造成或可能造成较大社会影响的水上突发事件4.4 一般水上突发事件(IV 级)

1)造成3人以下死亡(含失踪)的水上突发事件。

2)危及3人以下生命安全的水上突发事件。

3500总吨以下的非客船、非危险化学品船发生碰撞、 触礁、火灾等对船舶及人员生命安全造成威胁的水上突发事件。

4)其他造成或可能造成一般危害后果的水上突发事件。

5 水上突发事件的应急响应和处置

5.1 水上遇险报警

发生水上突发事件后,遇险人员或现场附近目击人员应立即向事发地交通运输执法机构或公安、消防救援部门报告,遇险船舶同时向其单位报告。公安、消防救援和船舶单位接到报告后,应及时通报当地水上突发事件应急指挥机构或交通运输执法机构

报警通信方式:

省水上搜救中心值班电话:0791-86708134;

市交通运输局值班电话:0798-878093;

县应急指挥机构值班电话0798-2622970

县交通运输局值班电话:0798-2626075

公安部门报警电话 110

消防救援部门报警电话 119

5.2 水上遇险信息的分析与核实

水上突发事件应急指挥机构应通过多种途径对水上突发事件信息进行核实与分析,确保信息准确完整。

5.3 信息报告

水上突发事件应急指挥机构对接到的险情信息进行分析与核实后,按照国务院、省政府、中国海上搜救中心及同级政府信息报告规定,遵循及时快速、准确高效、分级报告的原则,及时上报信息,不得迟报、谎报、瞒报和漏报。

5.3.1 水上突发事件应急指挥机构。

水上突发事件信息应按程序逐级上报,特殊情况可越级上报。水上突发事件应急指挥机构接到水上突发事件信息报告后,应立即进行核实,对水上突发事件的性质和类别作出初步判断,初步认定为一般水上突发事件的,应在2小时内以书面形式报告同级人民政府和上一级水上突发事件应急指挥机构;初步认定为较大水上突发事件的,应在30分钟内电话报告,并在2小时内以书面形式报告同级人民政府和上一级水上突发事件应急指挥机构;接到大以上水上突发事件信息报告后,事发地乡(镇)政府应立即向应急指挥部办公室报告

5.3.2 应急指挥部办公室。

发生水上险情后,应急指挥部办公室要在规定时间内向委、政府报告,并抄送应急管理局,对较大以上水上突发事件,应急指挥部办公室要立即同时向应急指挥部报告,需要通报相关部门的,应及时通报。对委、政府作出的处置水上突发事件的决定或指示的落实情况要及时反馈上报。

5.4 指挥与控制

水上突发事件发生后,要按照应急预案启动应急响应,立即采取措施控制事态发展,组织开展应急救援工作,并及时向上级政府和处置水上突发事件应急指挥机构报告,直到应急反应结束为止。

5.5 分级应对

5.5.1 分级应对。

水上突发事件应对按照分级负责、属地为主、协调联动的原则开展。水上突发事件应对工作按照县级-市级一省级的顺序从下至上响应,并组织应对必要时,长赴一线指挥协调调动全应急救援力量参加救援处置,根据需要请求国家层面调派应急救援力量和装备予以支援。加强舆情分析,做好新闻发布和舆情引导工作,妥善做好人员安置、救助和伤员救治工作,维护社会稳定。

5.6 紧急处置

5.6.1 应急指挥部的主要任务。

在险情确认后,应急指挥部立即进入应急救援行动状态:

1)按照险情的级别通知有关人员进入指挥位置。

2)在已掌握情况基础上,制订并组织实施抢险救援方案,确定救助区域,明确实施救助工作任务与具体救助措施。

3)协调有关地区和部门提供应急保障,调度各方应急力量和资源,执行救助任务。

4)建立应急通信机制。

5)指定现场指挥。

6)需要动用航空器实施救助的,及时按程序请求支援并通过相关空管机构核准。

7)根据事故救助现场的需要,依法实行水上和陆上交通管制。

8)根据救助情况,及时调整救助措施。

9)及时向委、政府报告应急处置工作进展情况。5.6.2 搜救指令的内容。

对需动用的、当时有能力进行水上搜救的救助力量,应急指挥部应及时下达行动指令,明确任务,并将以下事项告知各种救援力量:

1险情种类遇险者情况及所需要的救援所执行任及其目的。

2)险情发生的时间、位置。

3)搜救区域和该区域的情况。

4)通讯联络要求。

5)实施救助过程中的工作与现场情况报告。

6)其他所需信息。

水上突发事件应急反应工作流程图见附件 9.3

5.6.3 水上突发事件处置保障措施。

根据救助行动情况及需要,应急指挥机构应时协调安排下列事项:

1)做好遇险人员的医疗救护。

2)当险情可能对公众造成危害时,通知有关部门组织人员疏散或转移。

3)做出维护治安的安排。

4)指令有关部门提供水上突发事件应急反应的支持保障

5.6.4 救助力量与现场指挥的任务。

1)专业救助力量要将值班待命的布设方案和值班计划向应急指挥机构报告,值班计划临时调整的要提前报告,调整到位后要进行确认报告。

2)救助力量与现场指挥要将出动情况、已实施的行动情况、险情现场及救助进展情况向应急指挥机构报告,并及时提出有利于应急行动的建议。如条件许可,应尽快提供险情现场图像等有关信息。

5.6.5 搜救现场管理。

现场指挥部要充分发挥专家组、生产经营人和专业技术人员以及搜救队伍指挥员的作用,实行科学决策。要根据搜救需要对现场及周边水域实行交通管制,确保应急搜救通道畅通。及时疏散船舶及人员,维护现场秩序,确保搜救工作高效有序。未经指挥部批准,任何人不准进入搜救现场。

5.7 水上应急通信

5.7.1 通信方式。

水上搜救机构在实施水上应急行动时,可根据现场具体情况,指定参加应急行动所有部门的应急通信方式。通信方式包括:

1)水上通信,包括甚高频无线电话(VHF)等。

2)公众通信网,包括电话、传真、因特网等。

3)其他一切可用手段。

5.7.2 分级联系方式。

县级应急指挥机构制发本地区《水上应急通信联系表》,并报市应急指挥部办公室备案。

5.8水上搜救医疗救援

卫生健康行政部门负责辖区内水上医疗救援工作。根据应急指挥机构的要求,卫生健康行政部门应做好以下工作:

派出医疗人员携带医疗设备,随船赶赴现场执行水上医疗救援、医疗移送任务。

负责伤病人员的检伤分类、现场急救、转送和院内救治工作,并将水上医疗救援有关情况及时报告当地应急指挥机构和上级卫生健康行政部门。

5.9应急行动人员的安全防护

1)在应急搜救过程中,发现可能直接危及搜救人员生命安全的紧急情况时,应立即采取措施,化解风险,必要时可暂时撤离搜救船艇和人员。搜救队伍指挥员在遇到突发情况危及搜人员生命安全时,有权作出决定,迅速撤出搜救船艇和人员,并及时报告现场指挥机构。

2)参与水上应急行动的单位负责本单位人员的安全防护。交通运输执法大队应对参与救援行动单位的安全防护工作提供指导。参与应急行动人员的安全防护装备不足时,实施救助行动的应急指挥机构可请求上一级应急指挥机构协调解决。处置水上化学品突发事件的应急人员进入和离开现场应先登记,进行医学检查,有人身伤害时,应立即采取救治措施。

5.10遇险旅客及其他人员的安全防护

在实施救助行动中,应根据险情现场与环境情况,组织做好遇险旅客及其他人员的安全防护工作,告知旅客及其他人员可能存在的危害和防护措施,及时调集应急人员和防护器材、装备、药品。

应急指挥机构要对水上突发事件可能次生、衍生的危害采取必要的措施,对水上突发事件可能影响到的船舶、设施及人员的安全防护、疏散方式做出安排。如果需要大规模疏散居民,应由当地各级政府负责,拟定撤离计划并组织实施。

在水上突发事件影响范围内可能涉及陆上人员安全的情况下,水上应急指挥机构应通报当地政府采取防护或疏散措施。

船舶、浮动设施的所有人、经营人应制定在紧急情况下对遇险旅客及其他人员采取的应急防护、疏散措施;在救助行动中要服从水上搜救机构的指挥,对遇险旅客及其他人员采取应急防护、疏散措施,并做好安置工作。

5.11社会力量动员与参与

1)应急指挥机构在必要时,依法组织就近船舶参与施救工作,争取第一时间抢救遇险人员生命,就近船舶应积极响应,参与救援。

2)可根据水上突发事件的等级、发展趋势、影响程度等在本辖区内依法发布社会动员令。

3)当应急力量不足时,由政府动员辖区机关、企事业单位、各类民间组织和志愿人员等社会力量参与或支援水上应急救援行动。

5.12应急效果评估与处置方案调整

5.12.1目的。

跟踪应急行动的进展,查明险情因素、造成事件扩展和恶化因素,控制危险源和污染源,对措施的有效性进行分析、评价,调整应急行动方案,以便有针对性地采取有效措施,尽可能减少险情造成的损失和降低危害,提高水上突发事件应急反应效率和救助成功率。

5.12.2 方式。

由应急指挥机构在指挥应急行动中组织、实施,具体包括:

1)指导救援单位组织专人,使用专用设备、仪器进行现场检测、分析。

2)组织专家或专业咨询机构对事件进行分析、研究。

3)使用计算机辅助支持系统进行分析、评估

5.12.3 内容。

1)调查险情的主要因素。

2)判断事件的发展趋势。

3)采取有针对性措施对危险源进行控制、处置。

4)对现场进行检测,分析、评价措施的有效性。

5)针对水上突发事件衍生出的新情况、新问题,采取进一步的措施。

5.13水上应急行动的暂停与终止

5.13.1 对于继续救援直接威胁救援人员生命安全、极易造成次生、衍生危害的,应及时暂停救援行动;在险情得以有效控制,导致次生、衍生事危害因素消除后,经指挥部研究,确认符合继续施救条件时,再行施救,直至救援任务完成。

5.13.2根据下列情况决定水上应急行动是否终止:

1)有可能存在遇险人员的区域均已搜寻。

2)幸存者在当时的气温、水温、风、浪条件下得以生存的可能性已完全不存在。

3)水上突发事件应急反应已获成功或紧急情况已不存在。

4)水上突发事件的危害已彻底消除或已控制,不再有扩展或复发的可能。

5.14信息发布

5.14.1 信息发布原则。

1)发生特别重大、重大水上突发事件后,事发地人民政府或指挥机构要在事件发生后的第一时间向社会发布简要信息,5小时内发布权威信息,随后发布初步核实情况、政府应对措施和公众防范措施等,最迟在24小时内举行新闻发布会,根据突发事件处置情况做好后续发布工作。法律、行政法规和国家另有规定的,从其规定。

2)信息发布由履行统一领导职责的政府或的指挥负责。未经批准参与水上突发事件应急处置工作的各有关单位和个人不得擅自对外发布信息。

5.14.2信息发布内容。

1)水上突发事件发生的时间、地点。

2)遇险船舶概况、船员和旅客情况、载货情况。

3)救助情况,包括已采取的措施、取得的进展、拟采取的措施。

4)获救人员的医疗、安置情况。

5)善后处理情况。

6)公众关心的其他问题。

6 后期处

6.1 善后处置

6.1.1 伤员的处置。

事发地卫生健康行政部门负责获救伤病人员的救治对在应急救援工作中的伤员依法给予抚恤。

6.1.2 获救人员的处置。

应急或获救人员所在单位负责获救人员的安置。

6.1.3 死亡人员的处置。

民政或死亡人员所在单位负责死亡人员的处置政府对在应急救援工作中死亡的人员依法给予抚恤。

6.1.4 征用财产的处置。

为应对突发事件,被征用的财产在使用完毕或者突发事件应急处置工作结束后,应当及时返还。财产被征用或者征用后毁损、灭失的,应当给予补偿。

6.2 社会救助

对被救人员及遇难者家庭存在基本生活困难的,由民政局依职责开展救助。

6.3 保险

6.3.1 参加现场救助的政府公务人员由其所在单位办理人身意外伤害保险。

6.3.2 参加救助的专业救助人员由其所在单位办理人身意外伤害保险。

6.3.3国家金融保险机构要及时介入水上突发事件的处置工作,按规定开展赔付工作。

6.4 应急处置效果和经验总结

6.4.1 应急处置效果的总结评估。

1)指挥部办公室配合应急指挥部等上级应急机构负责对特别较大以上水上突发事件的应急处置效果调查,负责以上水上突发事件的应急处置效果调查,在20个工作日内提出调查报告,送上级审核

2指挥部负责较大水上突发事件的应急处置效果调查,在10个工作日内提出调查报告并送应急指挥部办公室审核;

3)水上交通事故的调查处理,按照国家有关规定处

6.4.2 应急经验总结和改进建议。

1应急指挥部办公室负责一般水上突发事件应急工作总结。会同专家对大水上应急行动进行评估,总结经验教训,提出改进意见,按规定程序报应急指挥部办公室,同时抄送应急局。

2较大以上水上突发事件,指挥部办公室根据上级意见总结经验教训,提出改进意见,组织整改落实。

7 应急保障

7.1 应急力量和装备保障

1)应加强水上应急队伍建设,逐步建设水上搜救力量。建立水上应急队伍信息库和应急救援船舶、设备数据库。有关乡镇人民政府应加强水上渡运应急救援队伍建设。

2)各专业应急救援队伍应配备先进、高效、适应性强的搜救船舶、救援装备、器材和通信、交通工具等,并积极开展专业技能培训和演练,确保能随时完成应急救援任务。

7.2 资金保障

1)应急资金保障由财政部门纳入财政预算,按照现行事权、财权划分原则,分级负担。

2)财政、审计部门应当加强对水上突发事件财政应急保障资金的使用和效果进行监管和评估,应急保障资金使用部门应严格按规定使用水上突发事件财政应急保障资金,确保专款专用同时加强预算资金绩效管理,提高资金使用效益。

7.3 物资保障

1交通运输局、发展改革委、应急管理局根据各自职责做好水上突出事件应急物资保障,以满足水上突发事件应急工作需要。

2)逐步引进水上突发事件预测、预防、预警和应急处置工作的新技术、新工具、新设备,提高应急工作科技含量。

7.4 医疗卫生保障

卫生健康委负责组织医疗卫生应急专业技术队伍,及时赶赴现场开展医疗救助、疾病预防控制等卫生应急工作,按照现场抢救、院前急救、专科救治的不同环节和实际需要组织实施应急救护,尽最大可能减少人员伤亡。

7.5 交通运输保障

1交通运输局负责公路、水路运输设施、车辆、船舶的保障工作。其他有关部门应当按照各自的职责,做好交通运输保障工作,保证紧急情况下应急交通工具的优先安排、优先调度,优先放行,确保运输安全畅通。

2)各级水上突发事件应急指挥机构应配备应急专用交通工具,确保应急指挥人员、器材及时到位。

3)各级水上突发事件应急指挥机构应与本地区的交通运输部门建立交通工具紧急征用机制,为应急行动提供保障。

4县交通运输局要建立交通运输保障机制,按照应急指挥部的要求,依法组织运输企业和社会车辆参加紧急运输。在救助抢险过程中紧急调用车辆、物资、设备、人员和占用的码头、泊位及其他场地,任何单位和个人不得阻拦或拒绝。

7.6 治安维护

公安负责水上突发事件现场治安保障工作,依法采取有效管制措施,控制事态,维护现场治安秩序。

7.7 通信保障

1应急指挥部成员单位、专业救助单位应当确保1部专用固定电话24小时有人守,并明确带班领导。应急救援现场与应急指挥部之间应当确保通信畅通,必要时,可紧急调用或者征用其他部门和社会通信设施。

7.8宣传、培训与演

7.8.1 宣传。

1)各乡镇及交通运输、新闻、宣传等有关部门,应广泛宣传水上交通安全、应急法律法规和预防、避险互救等常识,增强公众的忧患意识、安全意识、社会责任意识和 自救、互救能力。

2)教育部门应当在中小学生尤其是农村中小学生中普遍开展水上交通安全预防、避险、自救、互救等常识教育。

3)新闻媒体应当无偿开展突发事件预防与应急、自救与互救知识的公益宣传。

7.8.2 培训。

1)交通运输应当建立健全水上突发事件应急法律、法规和应急管理知识培训制度,有计划地对应急救援和管理人员进行培训,提高专业技能。

2)被指定为水上救援力量的相关人员的应急技能和安全知识培训,由各自单位组织,水上搜救机构负责相关指导工作。

7.8.3 演练。

根据水域实际情况视情组织演练。应急演练结束后应当对演练进行全面总结和评价。总结报告应当包括演练地点、时间、气象条件等背景信息,演练方案和演练情景,参与演练的应急组织,演习目标和演练的范围,演练过程等基本内容。演练的评价包括对存在缺陷的评述和应急预案的完善、应急设施维护与更新等方面的意见和建议。

8附则

8.1 名词术语的定义与说明

1)水上突发事件是指船舶、设施在水上发生火灾、爆炸、碰撞、搁浅、沉没,油类物质或危险化学品泄漏以及民用航空器水上遇险造成或可能造成人员伤亡(失踪)、财产损失的事件。

2)水上搜救机构是指省、市、县级人民政府成立或指定的,在水上突发事件应急组织指挥体系框架下,承担处置水上突发事件职责的部门及其内设机构。

3)本预案有关数量的表述中,“以上”含本数,“以下”不含本数。

8.2 预案管理

8.2.1 预案的编制与批准。

1)本预案由交通运输局牵头编制,商应急局后, 报经人民政府批准,以人民政府办公室名义印发实施。

8.2.2 评估。

应急指挥部办公室要建立健全定期评估与更新制度,适时组织对本预案的评估。分析评价预案内容的针对性、实用性和可操作性,实现应急预案的动态化和科学规范管理。评估可采取由有关专家、部门、参加应急行动相关人员和水上突发事件当事人共同参与的方式进行,并出具评估报告。

8.2.3 修订。

有下列情形之一的,负责本级预案管理的机构应及时修订预案,并报当地人民政府批准:

1有关法律、法规、规章、标准、上位预案中的有关规定发生变化。

2)应急指挥机构及其职责发生重大调整。

3)面临的风险发生重大变化。

4)预案的其他重要信息发生变化。

5)在水上突发事件实际应对和应急演练中发现问题需要做出重新调整。

6)应急预案制定机构认为应当修订的其他情况。

8.2.4 备案。

本预案报交通运输应急指挥部办公室备案,并抄送应急管理局。

8.3 责任与奖惩

水上突发事件应急处置工作实行行政领导责任制和责任追究制。县政府对水上突发事件应急处置工作中做出突出贡献的先进集体和个人,给予表扬。对迟报、谎报、瞒报和漏报水上突发事件重要情况或者应急管理工作中有其他失职、渎职行为的,依法对有关责任人给予处分;构成犯罪的,依法追究刑事责任。

8.4 预案解释部门

本预案由交通运输局负责解释。

8.5 预案实施时间

本预案自印发之日起实施。

9 附件

9 .2险情处理与控制流程图




9 .3 水上突发事件应急反应工作流程图



































送:县委各部门、县纪委办、县人大办、县政协办、县人武部

保障科、县法院、县检察院、群众团体、新闻单位

梁县人民政府办公室 2025417日印发

      2    





相关文档: